光の干渉
光の干渉とは2つ以上の波が光路差Δを経て1点で出会うとき、その点での振幅がそれぞれの波の振幅の和で表わされることをいいます。下図のように光路差Δが半波長の偶数倍だと波は強め合い、半波長の奇数倍だと波は弱め合います。FT-IR赤外分光法では干渉計と呼ばれる装置の中の鏡の構造により光路差が生じ、光が干渉を起こします。
[光路差Δが半波長の偶数倍]

[光路差Δが半波長の奇数倍]

この干渉計は光源から発せられている複数の波長の光を干渉させることが特徴です。赤外光源からの各波長成分が干渉計に入射すると、入射光に対して45度の傾きを持つ半透鏡(ビームスプリッタ)という光学素子によって光束を互いに直角方向に進む均等の2光束に分割され、移動光と固定鏡に反射して帰ってきた光が再度同じ半透鏡によって一括で干渉した後入射光と直角に出射しFT-IRの光学系を進み最後に赤外検出器によって検出されます。
■FT-IR装置における光の干渉(干渉計の構造)

インターフェログラム
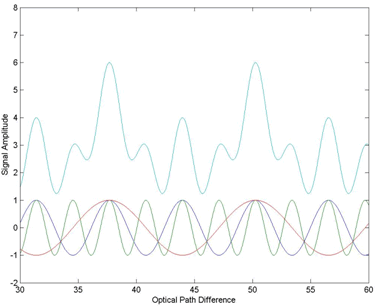
赤外光源から発せられている、一定の波長域(または波数域)に連続して分布している各波長成分が一括で干渉された合成波形スペクトルのことをインターフェログラムと言います(下図)。FT-IR測定ではインターフェログラムスペクトルさえ保存してあれば、あとはフーリエ変換によってどの形式(吸光度、シングルビーム等)のスペクトルも得られます。

上記インターフェログラムにおいて光路差がゼロの地点では全ての波長の振幅が加算され、強度が極大になります。これをセンターバーストとよび下のような図形になります。FT-IR測定においては「アラインをとる」と呼んで下のような波形が得られるよう調整します。

フーリエ変換
ここでは詳細は割愛しますが、(くわしくは「(4)フーリエ変換の赤外分光法への適用」へ)フーリエ変換とは「全ての周期関数はサイン関数とコサイン関数の集合としての級数(フーリエ級数)の形で表わされる、つまりフーリエ級数に展開できる」という原理に基づき上述の合成波スペクトルであるインターフェログラム(上図)をフーリエ変換して各波数成分に分解する処理のことをいいます。

インターフェログラムスペクトルは赤外検出器で検出し、各計測点の信号強度をプロットしていくことで得られます。FT-IR装置では移動鏡の駆動にレーザーをしようしており、この単色レーザーの正弦波から計測点を設定しています。
■インターフェログラムの強度をプロットするための単色レーザー光データポイントのイメージ

あとは周期はわかっていますので、これをフーリエ変換処理することで各波長成分が割り出せます。
シングルビーム
フーリエ変換処理をするとインターフェログラムが各波数成分に分解され、各波数成分の強度を連続して表すシングルビームというスペクトルで表示されます。先ほどインターフェログラムだけで十分な情報が得られると申し上げましたが、PCには十分でも人間にとってインターフェログラムはイメージを掴みにくいスペクトルです。これに対してシングルビームスペクトルはある波数域で赤外吸収が起きるとその部分が落ち込むので可視的にわかりやすいというメリットが得られますます。

最後もう一度まとめますと、複数の光束を一括して測定できるということがFT-IR分光法のメリットです。
FTIR分析装置のメンテナンスをできる人材を募集しています! お問い合わせはフォームからお願いします。 |
(1)FTIRとは?
(2)光の干渉、インターフェログラム、フーリエ変換およびシングルビーム
(6)他成分の干渉
(7)FTIRの測定可能波数域
(8)FTIR測定の定量方法